Overview
The JRS2 Series Thermal Overload Relay is mainly used in circuits with AC 50 Hz, rated working voltage up to 660 V and rated working current of 0.1 ~ 630 A, which is used to start and accelerate the motor to a normal speed, as well as for overload and phase failure protections for circuits and three-phase AC motors, and can form a starter with the adaptive AC contactor.
This product complies with GB 14048.4.
Normal Operating Conditions
1. Ambient air temperature: -5°C~+40°C. The average temperature within 24 hours shall not exceed +35°C.
2. Altitude: Not higher than 2,000 m.
3. Atmospheric conditions: The relative atmospheric humidity at the installation site shall not exceed 50% at +40°C. A higher relative humidity is allowed at a lower temperature, e.g. 90% humidity at 20°C. Special measures shall be taken for the occasional condensation due to temperature change.
4. Contamination grade: Grade 3.
5. Installation category: III.
6. Installation conditions: The inclination between the installation surface and the vertical plane shall not be more than ±5°.
7. In addition to screws, the relay can also be installed with 35 mm standard guide rail.
8. Impact vibration: The relay shall be installed and used in a place free of significant shaking, shock and vibration.
9. Transportation and storage: The relay shall not be subjected to severe collision and vibration during the transportation, and shall not be attacked by rain and snow during the transportation and storage. The relay is suitable for the transportation and storage at a temperature between -25°C and +55°C, which can reach +70°C in a short time (within 24 h).
Model description

Technical parameters
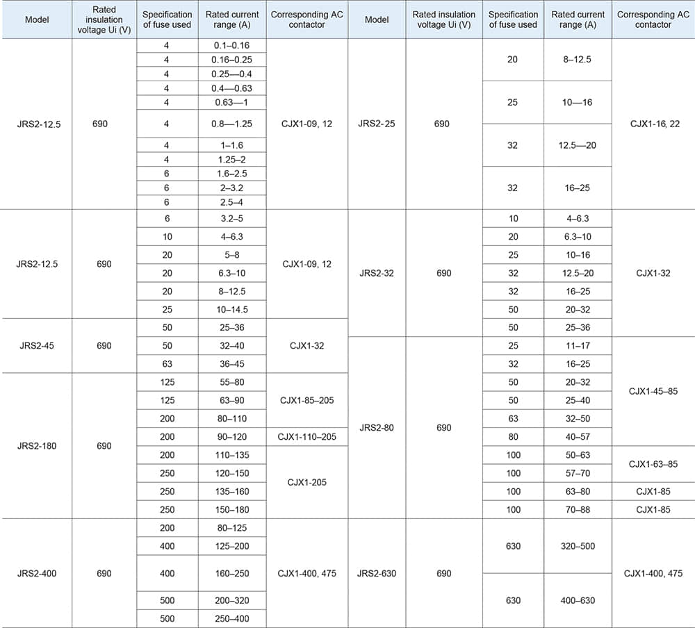
1. See Table 1 for the technical parameters of the main circuit of the thermal overload relay.
Table 1

2. Auxiliary circuit technical parameters
See Table 2 for the technical parameters of the auxiliary circuit of the thermal overload relay.
Table 2
